Surfactant Jargon Busters

 
Help!  
 
 
 
 
 
 
 
Print  
 
 
   

You may have already noticed that the science surrounding surfactants is somewhat of a black art. For this reason, companies tend to keep secret their industrial recipes that use surfactants. This culture of secrecy surrounding surfactants has led to a large number of trade names. The trade names include things like "Span", "Tween", "Teric" and letter codes like "AOT".

Some of the old names for surfactants are also still in common use. This includes things like oleum, lauryl, and poly(ethylene oxide). While a good knowledge of these names is more an exercise in stamp collecting than science, if you are wanting to know more about the surfactants in commercial products, you will need to know some of these names. To find out more about trade names, have a look at: www.surfactants.net

Here is a quick translation for some of them. (The systematic name is in brackets)

Old-style names

sodium oleate
[sodium 9-octadecenoate]
sodium palmitate
[sodium hexadecanoate]
sodium myristate
[sodium tetradecanoate]
sodium stearate
[sodium octadecanoate]
sodium lauryl sulfate
[sodium dodecyl sulfate]
sodium cetyl sulfate
[sodium n-hexadecyl sulfate]

Other trade names

Trade names are difficult beasts, often consisting of letter codes, illogical numbers and strange words. Here are a few common trade surfactants, a name that identifies them chemically and their structure (chemical name in brackets):

Span 80
[sorbitan oleate] *
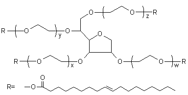
Tween 85
[sorbitan trioleate poly(ethylene oxide)] *
(w + x + y + z is approx 20)
Teric N20
[nonylphenyl ether poly(ethylene oxide)]
AMA or Aerosol MA
[sodium dihexyl sulfosuccinate]
AOT or Aerosol OT
[sodium di(2-ethylhexyl) sulfosuccinate]
* note: sorbitan is sorbitol anhydride (this is not a systematic IUPAC name, but it is what is generally used):