|
|
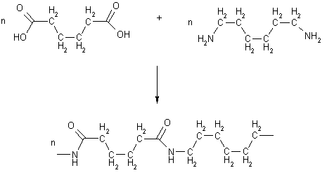
In condensation polymerisation, reactive groups on both ends
of each monomer react with one another. A growing chain also has a reactive
group on each end and so the length of the chain can suddenly get a lot larger
if two chains join together.
The reactions that take place are usually ones familiar from low
molecular weight organic chemistry, such as esterification
(formation of a bond between an alcohol and a carboxylic acid).
Clearly, two different reactive groups are required - reactions can be
done with one monomer bearing two kinds of reactive group (A-B) or
two different monomers (A-A and B-B).
Condensation polymerisations are used to make polyesters, nylon, and polyurethane.

The synthesis of poly(ethylene terephthalate) from
terephthalic acid and ethylene glycol (1,2-ethanediol). Better
known as PET, this polymer is widely used in soft-drink bottles.
|
The key features of condensation polymerisation are:
- any two molecular species can react
- chains start short and steadily grow
- most monomer gone early in reaction
- reactions relatively slow, generate little heat
| Early in the reaction |
Midway |
Late |
Some monomer
lots of short chains |
Some short chains
lots of middle-sized chains |
Some middle-sized chains
lots of long chains |
|