Return to Trail Home

Free Radical Polymerisation

 
Previous Page
Help!  
 
 
 
 
 
 
 
 
 
Print  
 
 
   

Students learn to outline the steps in the production of (poly)ethene as an example of a commercially and industrially important polymer

Free-radical polymerisation is an example of a addition polymerisation. Like all such chain reactions, it is divided into three separate processes: Initiation of the chain reaction, propagation, and termination. This process is often used to make polyolefins: addition polymers of olefins (what are now know as alkenes).

Initiation

In the initiation step, a free radical species is generated. This means that the highest occupied molecular orbital in the molecule contains only one electron, instead of an electron pair. For practical purposes, it is a reactive molecule on the prowl for another electron to complete its collection. Free radicals are commonly generated by breaking chemical bonds in such a way that the two electrons involved in the bond end up on the two separate fragments of the original molecule. This is called 'homolytic cleavage' except in Tasmania, where that sort of thing probably isn't legal.

Some common Initiators and their decomposition reactions are shown below:


Decomposition of Benzoyl Peroxide (BPO) The black circles symbolise unpaired electrons.


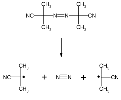
Decomposition of Azo-bis-isobutyronitrle (AIBN)

Propagation

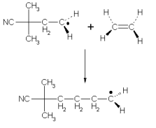
The radical derived from the initiator will grab another electron from the nearest convenient source - if a carbon carbon double bond is present, this will result in the formation of a new single bond and the regeneration of the radical centre. It might seem like we're right back where we started, but two single bonds give a lower total energy than a single bond and a double bond, driving the reaction forward. The new radical centre will look for another double bond to assuage its hunger for electrons, usw.


The first propagation step in the free-radical polymerisation of ethylene using AIBN as initiator. Imagine this happening again and again and again and again, until there are many thousands of monomers joined together.

Termination

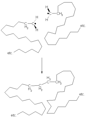
If you only had one free-radical to start with in your reaction, it could theoretically just keep propagating until it ran out of monomer, and your entire reactor was filled with a single polymer molecule. However, you will have noticed that initiation usually generates radicals in pairs - and there will be a lot more than one disintegrating molecule of initiator in your reaction. There will be a lot of free-radicals around, and when they run into each other, they are very likely to combine to generate a new bond, terminating the chain.


Termination of two growing polymer chains by combination

Books have been written about free-radical polymerisation (some of them by people we know), so we could go on forever. But we won't. Actually, some of those books have been written by people who pay our salaries, so we'd better include a link to this shameless plug (it's down the bottom of the page this link sends you to).