The Saponification Reaction

Help!  
 
 
 
 
 
 
 
Print  
 
 
   

Students learn to describe saponification as the hydrolysis in basic solution of fats and oils to produce glycerol and salts of fatty acids.

The saponification reaction is the hydrolysis of fatty esters. The saponification reaction typically refers to the reaction that is carried out by a strong base. Historically, this was done with potash (potassium hydroxide) rather sodium hydroxide, although nowadays we can obtain sodium hydroxide from the hydrolysis of seawater.

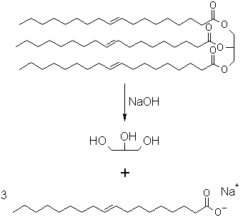
An example the saponification of olive oil by sodium hydroxide:


The saponification reaction: olive oil (triolein) is converted to glycerol (1,2,3-propanetriol) and sodium oleate.

Olive oil is a glycerol ester (or a triglyceride), it's also known as triolein because of the overall structure (compare this to oleic acid itself).


Olive oil reacts by base catalysed hydrolysis to form glycerol and sodium oleate, and this is our soap. The soap is an anion and this case we would form the sodium salt of the soap (i.e. sodium oleate). If we were to do this reaction with potash, we would form the potassium salt rather sodium salt.

Teacher Note: oleate soaps are actually quite interesting beasts. Oleic acid with sodium hydroxide (making sodium oleate solution) will form a water-in-oil emulsion. Oleic acid with calcium hydroxide can form a calcium-centred complex of oleate ions. This is effectively a multi-tailed surfactant and as such tends to form a water-in-oil emulsion. This is one of the interesting cases where the counterion (i.e. the sodium or calcium) actually has a significant effect on the properties of the system. (It can be argued that the calcium is not actually a counterion because it interferes with the system, complexing with the oleate ions.)

Teacher Note: the reaction depicted above is actually a simplification of what really occurs. In practice, you actually obtain a mixture of products, as the 3 oleate chains are hydrolysed one at a time.

Can this reaction be performed with other kinds of oils and fats?

The simple answer is yes. In answering this question, you need to ask: "What is the difference between olive oil and other kinds of oils and fats?" Different types of oils and fats only differ in the length and number of the long chains.

In practice, the most common soaps are made from vegetable oils, with some being made out of animal fats (tallows). The vegetable oil soaps feel less greasy as they generally have shorter hydrophobic chains and are widely used today. The main oils use are: olive oil (giving oleate), palm oil (giving palmitate) and coconut oil (giving a blend of carboxylates). (We'll look at the structures of these later). You can also make soaps out of animal oils, although this is less common. While we don't recommend you try this, it is interesting to note that the original test to see if something was acidic or alkaline (i.e. basic) was to put a small sample on your hand: if it stung or felt like hooks it was an acid (most ant and bee poisons have a acid in them), but if it felt soapy it was a base (as the fat in your skin was saponified).