Cellulose

 
Help!  
 
 
 
 
 
Print  
 
 
   

Students learn to describe the structure of cellulose and identify it as an example of a condensation polymer found as a major component of biomass

Cellulose is a structural polymer found in all 'higher' plants. Cotton, for instance, is almost entirely cellulose, as is most of the dry mass of trees, grasses, and all those other plant things. (Not all polymer scientists think that biology is the study of things that are either green or wriggle, just most of them...)

Cellulose is made up of many units of the sugar glucose covalently bound together (i.e. it is a polymer of glucose units). Glucose is the same monomer that goes to make up starch and glycogen (glycogen is the energy storage material we have in our livers). Though the monomers are the same, the way they are arranged is different.


Two glucose units arranged to make part of a cellulose chain

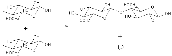
The bond linking monomer units in both starch and cellulose is an ether linkage (see the section on functional groups in our nomenclature trail for more info). The ether linkage is equivalent to the loss of water formed by condensation of between the 1-hydroxy group of one glucose unit and the 4-hydroxy group of another. Though the actual reaction in the biosynthesis of starch is much more complex, it is reasonable to consider cellulose a condensation polymer.

The likeness to condensation polymers is even stronger when you consider the depolymerisation reactions that can occur. If you have ever spilt acid on your clothes or on some paper you will know what we mean... Cellulose can be depolymerised (forming simple sugars) by heating it with acid. In fact the action of your washing machine is enough for acid to slowly eat a large hole in denim, wool and most other fibres.


A possible condensation reaction to generate a glucose dimer (a cellulose-like oligomer)

Cellulose has been a source for "synthetic materials" since the 19th century...

Viscose rayon, for example, is formed by dissolving cellulose (from wood chips, for example) in strong basic solution (sodium hydroxide + carbon disulfide) to give viscous goo - this can be extruded out in long strands, which coagulate in acid solution to form fibres.