Dehydration of Ethanol

 
Help!  
 
 
 
 
 
 
 
 
Print  
 
 
   

Students learn to describe the dehydration of ethanol to ethene and identify the need for a catalyst in this process and the catalyst used

Solar energy will keep pouring down on us for many hundreds of millions of years, providing a cheap way to convert carbon dioxide into useful chemical compounds through the agency of green plants. Converting sugars to ethanol is ancient technology (Honey Mead may date back to the time of our dearly departed cousins, Homo neanderthalensis), but the next stage in producing petrochemicals from plants is slightly trickier.

"Dehydration" is the technical term for breaking a molecule into two parts, one of which is water. It is easy to see that if you take a 'H' from one of the carbons of ethanol, and an 'OH' from the other, you'll be left with ethene.


A simple rearrangement of the atoms in ethanol gives ethene and water

The best way to do this is to use a zeolite catalyst, in much the same way as is done in the cracking of hydrocarbons. A zeolite can provide highly reactive sites in a controlled environment, safe from the chaos that prevails in a solution.

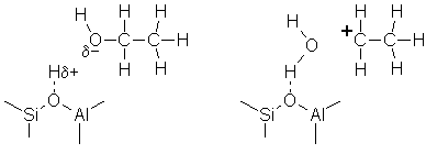
The exact mechanism of this process is unclear, but the crucial step can be thought of as an acid-base reaction. One way to break up ethanol is to give a base - the hydroxy, OH- ion - and an acid - the ethyl carbenium ion, CH3CH2+. Strongly acid sites in the pores of the zeolite attack the OH substituent of ethanol, giving a water molecule bound to the surface and an ethyl carbenium ion.


Attack of the highly acid zeolite sites gives both water and a positively charged carbon-centred ion. The d+ and d- refer to sites that are a 'little bit' positive or negative.

Though this ion is highly reactive and cannot survive long in the presence of water, in the restricted environment of the zeolite pores, ethyl carbenium ion finds it easier to lose a hydrogen ion, giving ethene.


Loss of a proton...

As well as zeolites, catalysts used to dehydrate ethanol include alumina (aluminium oxide), aluminophosphates and silicoaluminophosphates, activated carbon, and crystalline ytterbium aluminium borate. Catalytic dehydration of ethanol has been known for over two hundred years, and was done on an industrial scale to produce ethene in the 19th century.